万象物语的魂盘机制可真是让人摸不着头脑,你知道四魂的触发概率是多少吗?经过一番数学推导,发现指定四魂出现的几率大概是6.65%,今天就来揭开这个概率背后的秘密。
注意数学公式推导,结尾有最终结论。
刚发现计算有误,多亏@HIBIKI 及时指出问题所在。
重算结果是6.65%
魂盘由两行七列共十四个魂芯组成,直接计算四魂出现概率过于复杂,故可采用简化方法进行估算。
当四魂中至少出现两列同色时才符合条件,以白色魂芯为例:每列两个魂芯,每个为白色的概率是1/3,因此一列中两个均为白色的概率为1/9。我们将这样两个魂芯全为白色的列称为。

问题转化为:七列中至少有两列全白且相邻的概率是多少?
此问题相当于
任意相邻两列均为全白的概率为零,该概率更易计算。
首先分析魂盘无全白列的情形,此时必然不存在白四魂,该情况出现的概率为:

魂盘仅有一列全白时,不可能出现白四魂,此种情形的发生概率为

C71为全组合,手机编辑公式不便。
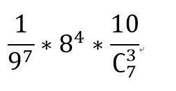
魂盘上有且仅有两个全白列,这两个全白列的位置在所有排列中可能出现6种相邻情况。从总的组合数C72中减去这6种情形,即可得到不出现白四的组合数,据此可计算对应概率。

此处需乘以C72进行修正
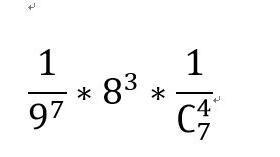
当魂盘上有3个全白列且不相邻时,共有10种排列方式,此时魂盘不出现白四魂的概率即由此得出。

再乘以排列组合数35
当魂盘仅有4个全白列时,唯一能使它们互不相邻的排列方式是将其置于第1、3、5、7列,这种情况出现的概率为:

再乘以排列组合数35
当全白列数量超过四时,无论如何排列都会出现白四魂,故魂盘无白四魂的概率为前述各情况概率之和。

魂盘中出现任意一个白四魂的可能性为:

大约是6.65%
由于我对数学不太在行,只能用较为简单直接的方法来计算概率,方法可能不够严谨,诚恳希望懂行的朋友能提供更优解法或指出不足之处。